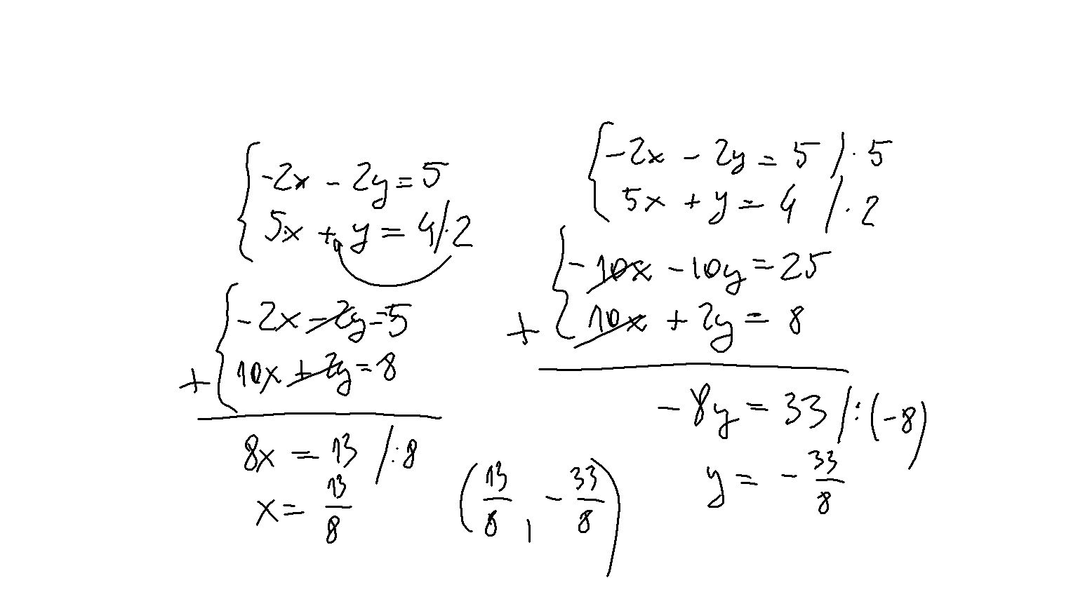
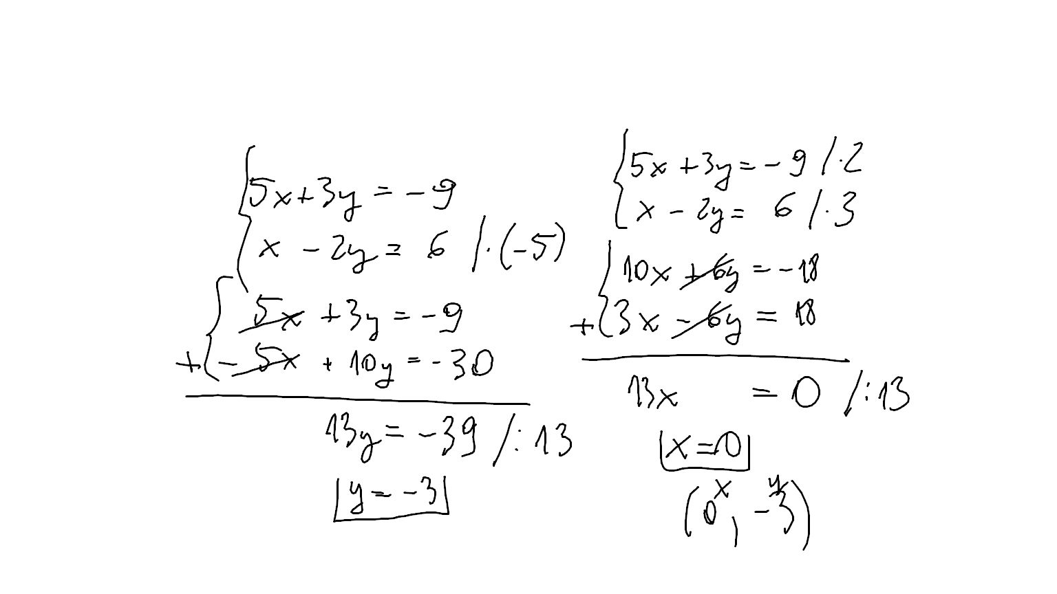
klasa 1c - lekcje - Metoda przeciwnych współczynników...