Inne obiekty obiekty matematyczne - macierze

Każdy punkt płaszczyzny jest reprezentowany przez 2 liczby zwane jego współrzędnymi
np. P (-1, 4) współrzędne tego punktu mogą być potraktowane jako współrzędne wektora o poczatku w punkcie (0, 0) i końcu w punkcie P, więc jest to wektor zaczepiony w początku układu współrzędnych

dysponując dwoma punktami możemy powiedzieć, że mamy dwa wektory wychodzące z początku układu współrzędnych

Wygodnie jest zestawić wektory w ten sposób

stworzyliśmy w ten sposób macierz o dwóch wierszach i dwóch kolumnach, czyli popularnie macierz 2 na 2.
Dysponując trzema wektorami

stwozrylibyśmy macierz o dwóch wierszach i trzech kolumnach

Nietrudno wyobrazić sobie macierz o dowolnych wymiarach np.

Działania na macierzach

Dodawanie macierzy

Dodajemy tylko macierze o tych samych wymiarach i określamy w następujący sposób:

Przykład

Mnożenie macierzy przez skalary

Przykład

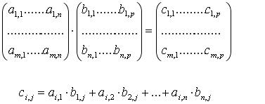
Mnożenie macierzy

Mnożenie macierzy nie jest przemienne!!!!
Macierz z lewej strony znaku mnożenia musi mieć tyle kolumn, ile wierszy ma macierz po prawej stronie znaku mnożenia.

Macierz

ma tyle wierszy ile macierz po lewej stronie znaku mnożenia i tyle kolumn, co macierz po prawej stronie znaku mnożenia.

Przykład

<